Breve introducción a los espacios de Hilbert
- Santiago Martinez Saenz

- 20 oct 2020
- 3 Min. de lectura
Actualizado: 10 nov 2020

Un concepto vital en la formulación de la mecánica cuántica realizada por Dirac y von Neumann es el de espacio de Hilbert. El cual es la generalización del espacio euclidiano a cualquier espacio de dimensión arbitraria, incluso infinita, y es el elemento que dio pie al análisis funcional, de la mano de David Hilbert.
El estudio completo de los espacios de Hilbert y sus propiedades demandaría años de trabajo. Sin embargo, el estudio que se realiza a continuación es apenas una pequeña introducción destinada a la construcción de la teoría cuántica de conjuntos.
Algunas consideraciones previas al estudio introductorio de los espacios de Hilbert deben ser tenidas en cuenta; estas son:
-Espacio Vectorial
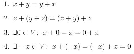
Un espacio Vectorial V es un conjunto dotado de una relación binaria

denotada suma, la cual cumple con las siguientes propiedades para todo trío de elementos x,y, z en V :

y de otra relación binaria

denotada multiplicación por escalar (donde K es llamado el cuerpo de escalares, que puede ser el conjunto de los reales o el de los complejos) que cumple con las siguientes propiedades para todo par de elementos en K y todo par de elementos en V

Por lo tanto, cualquier conjunto V, que cumpla con la anterior estructura es llamado un espacio vectorial. Notemos que las definiciones son legales gracias a ZF. También, gracias al axioma de elección, se tiene que todo espacio vectorial tiene una base, la cual actúa como conjunto generador del espacio.
Dada la anterior definición, podemos entonces definir el primer paso a la construcción de los espacios de Hilbert.
-Espacio pre-Hilbert
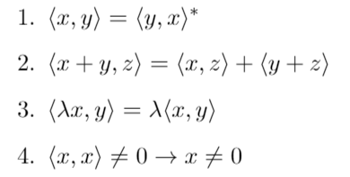
Un espacio pre-Hilbert es un espacio vectorial P, real o complejo, dotado de una relación binaria

esta relación binaria es llamada producto interno o producto escalar, el cual cumple con las siguientes propiedades:

algunas propiedades importantes de los espacios pre-Hilbert son las siguientes:

las primeras tres propiedades son producto de la definición de producto interno. Para la última propiedad, la demostración va como sigue:

Dada la anterior construcción, se puede definir la norma de un vector en el espacio P como el real positivo que cumpla la condición

esta norma cumple las siguientes propiedades heredadas de las propiedades del producto interno

En los espacios pre-Hilbert se cumplen las propiedades usuales de la norma euclidiana, tal es el caso de la desigualdad triangular y la desigualdad de Cauchy-Schwartz.
Cuando un espacio vectorial es dotado de una norma, se dice que es un espacio normado. En consecuencia, todo espacio pre-Hilbert es normado por la norma tal y como se define más arriba. Es interesante notar que todo espacio pre-Hilbert es a su vez es un espacio métrico con la distancia d(x,y)=||x-y||.
-Sucesiones convergentes y de Cauchy
Una sucesión de vectores (x)n se dice convergente en caso de que exista un vector x en P tal que

en dado caso se dice que la sucesión converge al vector x, y de igual manera , el vector x queda determinado por la sucesión. Frecuentemente se usa la notación

ahora bien, una sucesión de vectores (x)n se dice de Cauchy en caso de que

estas sucesiones de Cauchy no necesariamente son convergentes, y en general no lo son, pero en dado caso de que toda sucesión de Cauchy contenida en el espacio P, pre-Hilbert, sea convergente, se dice que P es un espacio de Hilbert.
Un concepto muy importante de los espacios de Hilbert es el de operadores, cuyo estudio es de gran interés para nuestra construcción. A continuación se hará una breve introducción.
Operadores
Para poder definir un operador, primero se ha de definir lo que es una transformación lineal continua de un espacio normado en otro:

Por lo tanto, un operador se define como una transformación lineal continua, T, de un espacio de Hilbert , H, en sí mismo.
Se define el adjunto de un operador T* de tal manera que

También se dice que una transformación lineal es ortogonal en caso de que se preserve el producto interno, esto es

Estas transformaciones, cuando el espacio de Hilbert es el espacio euclídeo, son elementos de un conjunto, dotado de una operación binaria (en este caso la multiplicación) que cumple con la clausura, la asociatividad, la existencia de elemento neutro y la existencia de inverso. Dicho conjunto, con la estructura anterior, es el grupo de transformaciones ortogonales en el espacio euclídeo, notado O(n) siendo n la dimensión del espacio de Hilbert.
los operadores en los espacios de Hilbert van a ser una pieza fundamental en la teoría cuántica y en el análisis funcional; por lo que el estudio de los mismos ha sido de gran importancia en los últimos cien años. En las próximas entradas se empezará a trabajar en la formalización de la teoría cuántica de conjuntos con base en las construcciones que se han trabajado.
Referencias:
-S.K. Berberian, Introduction to Hilbert Space. 1961: Nueva York, Nueva York.




Un cordial saludo. Con respecto a "la Ontología del Espacio de Hilbert", y por otro lado considerando el reconocimiento académico que están logrando los programas de inteligencia artificial en consultas de Física y Matemáticas, les cuento lo siguiente: consultamos a ocho de estos programas sobre el origen y la ontología de la unidad de medida de la Constante de Planck y resulta que todos coincidieron! en responder que "esta unidad de medida tiene conceptualmente implícito, pero hasta ahora ignorado académicamente, un término en su denominador, de manera que entonces la verdadera unidad de medida de h es acción/evento elemental; y que esta notación conlleva a la Discretización del Espacio de Hilbert"! Si les resulta de interés darle un "vistazo" a…